Чем нас лечат: зеленка, йод и фукорцин ( 5 фото )
Красители-антисептики: старый конь лучше новых двух?

SunMag/Max Pixel/Indicator.Ru
Какие красители хранятся практически в каждой аптечке, что такое повидон-йод, есть ли шансы у йодистой сеточки против синяков и у зеленки против ветрянки, а также что мы знаем о токсичности и канцерогенности распространенных антисептиков, читайте в новом выпуске рубрики «Чем нас лечат».
Многие антисептики, как зеленка и фукорцин, с химической точки зрения относятся к красителям (более того, в этой роли они преимущественно и используются на Западе). Не менее популярен и раствор йода, который тоже может входить в состав реагентов для окрашивания. Рассказываем, от чего они защищают и насколько безопасны.
Из чего же, из чего
Известная всем зеленка, получившая название из-за французского прилагательного brillant, которое возникло при переводе с латыни и означало «блестящий», используется для окрашивания клеточных сред в микроскопии, шелка и шерсти, а также нанесения меток. Но в своей главной роли — в качестве антисептика — бриллиантовый зеленый стал применяться в начале XX века, когда ученые заметили, что при окрашивании он уничтожает микроорганизмы. Его «замечательная бактерицидная активность» была отмечена еще в публикации 1916 года, а в следующем году появились новые исследования, сообщавшие о его низкой токсичности для тканей человека.
Сейчас под бытовым названием «зеленка» в медицине используется под 1%-ный или 2%-ный раствор бис-(п-диэтиламино)трифенилангидрокарбинола оксалата в 57%-ном этаноле. Как и фукорцин, он относится к группе трифенилметанов. Фукорцин, кстати, тоже был изобретен более века назад (если быть точнее, в 1905 году). В практику его ввел итальянский бактериолог и патолог Альдо Кастеллани, который в то время работал на острове Цейлон. Фукорцин сложнее по составу: в него входит 0,8 частей борной кислоты, 3,9 частей фенола, 7,8 частей резорцина, 4,9 частей ацетона, 0,4 части основного фуксина, 9,6 частей 95%-ного спирта. Вся эта смесь дополняется 100 частями дистиллированной воды. В честь его создателя такой раствор нередко называют жидкостью Кастеллани.

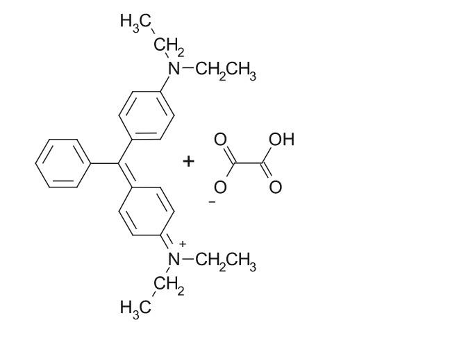
Бриллиантовый зеленый

Фуксин — краситель в составе жидкости Кастеллани. Выпускается также разновидность жидкости без фуксина
Фукорцин тоже применяется для окрашивания культур микроорганизмов. Так, он связывается с миколовой кислотой в клеточной стенке микобактерий, в том числе у Mycobacterium tuberculosis. Кроме антисептического действия ему приписывают и противогрибковый эффект.
Наконец, среди местных антисептиков очень популярен 5%-ный раствор йода в спирте. Применять его в медицине в 1908 году начал Антонио Гроссиш, хорватский хирург, политик и писатель, который обрабатывал этой жидкостью кожу перед операцией. В Великобритании этот метод распространял Лайонел Стреттон, который оспаривал право первенства идеи, но так или иначе помог прославить ее на весь мир. На основе иода делается и раствор Люголя, названный в честь французского врача Жана-Гийома Люголя, который создал такую смесь еще в 1829 году. Водный раствор Люголя состоит из иода, иодида калия и воды в соотношении 5:10:85, а глицериновый — из глицерина, воды, иода и иодида калия в пропорциях 94:3:1:2. Раствор Люголя нередко применяют как фиксатор в окрашивании бактерий по Граму, которое помогает определить тип их клеточной стенки, а также в травлении золота.

Комплекс повидон-йода на углеродной нанотрубке
Trevor Simmons/Wikimedia Commons
Намного лучше переносится повидон-йод — комплекс из трийодид-анионов и водорастворимого полимера. Всемирная администрация здравоохранения даже внесла и его, и раствор Люголя в список важнейших препаратов, самых доступных и эффективных.
Зеленый свет для всех показаний?
Ни одной статьи в разделе клинических испытаний в базе данных PubMed не посвящено зеленке. Однако некоторые эксперименты там все же можно найти. Так, в одной статье сравнивается эффективность «тройного красителя» (в число трех анилиновых красителей входит и зеленка) с изопропиловым спиртом и без него в обработке пуповины новорожденных. От изопропилового спирта действие не меняется, однако это мало говорит нам о том, насколько оно сильно само по себе. Другая работа 1948 года показывает, что двухпроцентная зеленка помогает за 26 дней заживить хронические язвы, которые не проходили несколько месяцев до этого. Авторы заключают, что препарат убивает большинство бактериальных патогенов и легко может применяться на дому. Побочных эффектов они не нашли и добавили, что очистить здоровую кожу от случайного окрашивания можно обычным спиртом.
Другое исследование показало, что зеленка может уничтожать золотистый стафилококк, стрептококк и грибок Candida albicans при pH кожи и крови (и ее активность не меняется), хотя она проигрывает красителю генцианвиолету. Но от грамотрицательных бактерий она помогает плохо. Судя по всему, механизм действия зеленки как-то связан с разрушением клеточной стенки, характерной для грамположительных микроорганизмов.
Если антисептики нужны для обеззараживания раны, куда уже проникли микроорганизмы, то асептики предотвращают попадание туда инфекции. Грань между этими двумя методами иногда тонка, так как некоторыми дезинфицирующим средствами можно обрабатывать и рану, и, к примеру, хирургические инструменты. В этом смысле, смазывая зеленкой, фукорцином или раствором иода края раны, мы скорее используем их как асептики (хотя трудно сказать, есть ли там уже микроорганизмы в этот момент). Заливать ими рану внутри обычно не рекомендуется: раздражающее действие этих растворов на незащищенные ткани замедляет заживление. Поэтому для самой раны часто используют менее болезненные и более щадящие варианты, как раствор перекиси водорода.
Опыт применения зеленки в полевом лазарете с 1917 по 1956 годы раскрыт в письме в British Medical Journal. Автор называет антисептик эффективным в сравнении с другими и не вызывающим сильного раздражения. Также он заметил, что зеленка сильнее окрашивает мертвые ткани, предположив, что такая особенность может быть подсказать хирургу, что нужно удалить. Однако он сообщил и об ограничениях: так, раненые не оставались в лазарете долго, и их повреждения могли быть обработаны чем-то другим до прибытия.
Автор другого исследования зеленки, опубликованного в 1931 году, отмечает, что антисептики бывают двух типов: сильные, но при этом раздражающие живые ткани, как раствор иода, или более безопасные для пациента, но и на бактерии не оказывающие значительного эффекта. Дело в том, что часто свойства антисептиков, губительные для микроорганизмов, бывают вредны и для клеток человека. Бриллиантовый зеленый подавляет (в пробирке) размножение стрептококков и пневмококков, даже когда разведен в 200 000 раз, при этом автор называет его не токсичен и не раздражающим ткани раны так сильно, как раствор иода. В статье говорится о 123 случаях дезинфицировании зеленкой уже пораженных участков ткани (при язвах, карбункулах, флегмонах, абсцессах и так далее), а также об успешном применении в хирургических операциях. Насколько эффективно она защищает от заражения, автору выяснить не удалось.
Некоторые ученые пошли по другому пути и создали бактерицидные перчатки, инкомпорировав в материал хлоргексидина и бриллиантового зеленого. В экспериментах такие перчатки предотвращали загрязнение даже устойчивыми к антибиотикам патогенами. Есть данные и о противовирусной активности зеленки — например, против вируса Нипах, вызывающего энцефалит.
А вот ветряная оспа от зеленки не вылечивается. Но и цель нанесения антисептика не в этом: мокнущие язвочки он подсушит и от занесения новой инфекции защитит. Зато зеленка поможет покрасить новые пузырьки сыпи, чтобы следить за течением болезни. За рубежом такой подход не используется во многом из эстетических соображений.
Скрытые опасности красителей-антисептиков
Собрат зеленки в багровых тонах, фукорцин оказался эффективнее генциан-виолета (другого анилинового красителя-антисептика, который редко используется из-за подозрений в канцерогенности) против грибка Candida albicans. Поскольку фукорцин, в который входит фенол, тоже считается потенциально канцерогенным, некоторые ученые предлагают сочетать фуксин с хлоргексидином, более безопасным антисепиком. Такая смесь, по имеющимся данным, может подходить для лечения оториноларингологических инфекций.
Согласно уже упомянутому обзору красителей-антисептиков, фуксин активен против грамположительных бактерий и используется для лечение гнойничковых поражений кожи, дерматитов, экземы и даже ожогов. Фукорцин же вдобавок активен против грибков и работает как вяжущее вещество. С 1967 года официально признана опасность препарата для работающих на производстве, которым предписано проходить дополнительные обследования каждые шесть месяцев.
В исследовании на 61 пациенте фукорцин помог вылечить вызывающе зуд воспаление наружного уха, не затронув нейтральные бактерии, которые не приносили вреда. И все же в подавляющем большинстве клинических испытаний фукорцин сейчас применяется для окрашивания образцов клеток или тканей, а не как исследуемый антисептик. Причина как раз в потенциальной токсичности, которая, возможно, связана с механизмом окислительного стресса (общим для многих подобных красителей-антисептиков).
Немало вопросов у ученых возникает и по поводу опасности зеленки. Бриллиантовый зеленый — один из самых токсичных красителей-антисептиков при внутрибрюшинном введении. Эксперименты на эту тему проводились еще на морских свинках в 1918 году. Есть основания подозревать, что зеленка обладает канцерогенными свойствами, так как в определенной концентрации она разрушает ДНК клеток. Доказана вероятность перехода частиц красителя из зеленых бумажных полотенец на руки и еду: риск канцерогенного воздействия примерно равен тому, которому подвергают нас незаконно использующие зеленку рыбные хозяйства.
Точно известно, что к хорошему не приведут ее контакты со слизистыми оболочками, а из-за попадания зеленки в глаза может произойти помутнение роговицы. Также описаны случаи аллергических реакций на зеленку.
Йод: самый изученный, но исследования низкого качества
Антисептики с йодом — самые изученные среди тех, что мы рассматриваем в нашей статье. Им посвятили ряд Кохрейновских обзоров.
Кохрейновская библиотека — база данных международной некоммерческой организации «Кохрейновское сотрудничество», участвующей в разработке руководств Всемирной организации здравоохранения. Название организации происходит от фамилии ее основателя — шотландского ученого-медика XX века Арчибальда Кохрейна, который отстаивал необходимость доказательной медицины и проведения грамотных клинических испытаний и написал книгу «Эффективность и действенность: случайные размышления о здравоохранении». Ученые-медики и фармацевты считают Кохрейновскую базу данных одним из самых авторитетных источников подобной информации: публикации, включенные в нее, прошли отбор по стандартам доказательной медицины и рассказывают о результатах рандомизированных двойных слепых плацебо-контролируемых клинических исследований.

Indicator.Ru
Справка
Судя по всему, растворы йода (в том числе повидон-йод) хуже хлоргексидина защищают от инфекций при использовании венозного катетера, при чистой хирургии и для обеззараживания рук хирурга. Немного эффективнее повидона-йода хлоргексидин предотвращает инфекции при кесаревом сечении. А вот заживлять раны от ожогов антисептики с йодом в разных формах помогут немного быстрее хлоргексидина.
Не совсем понятно, помогает ли повидон-йод при венозных трофических язвах. Но увы, качество исследований оставляет желать лучшего: дешевый препарат уже на рынке, и тратить ресурсы на его более тщательные испытания никому не хочется.
Поскольку повидон-йод менее токсичен, чем раствор йода (а его эффект длится дольше), его успешно используют против конъюнктивита у новорожденных, хотя и неизвестно, лучше он или хуже других средств. При хроническом отите картина та же.
Помимо этого, йод применяется, к примеру, для обеззараживания питьевой воды в полевых условиях (5 капель двухпроцентного спиртового раствора на литр жидкости). Правда, он в такой форме токсичен, а потому не рекомендуется пить эту воду дольше нескольких недель. Кроме того, хотя йод убивает бактерии и вирусы, он не защищает от паразитических простейших Cryptosporidium или Giardia, которые вызывают тошноту, диарею и судороги.
Популярны также йодные сеточки: их рисуют для избавления от синяков или при ОРВИ. Единственное объяснение хоть какого-то механизма работы этих методов — раздражающее воздействие раствора на кожу, которое усилит кровоток и может (теоретически) ускорить исчезновение синяка. А вот сеточки от кашля — это, судя по всему, миф. «Если говорить о травмах, воспалительных заболеваниях, заболеваниях кожи и подкожной клетчатки — здесь еще можно говорить о воздействии йода на клетки кожи. Но что касается воздействия на кашель, это заблуждение», — отмечает Ярослав Ашихмин, кандидат медицинских наук, терапевт и кардиолог. Более того, с повторными «сеточками» стоит быть поаккуратнее: ими не только можно травмировать кожу, но и (при особенном упорстве) перегрузить щитовидную железу высокими дозами элемента, способного через эту кожу всасываться. По той же причине будут опасны всевозможные полоскания для горла с раствором йода, которые, к тому же, могут повредить слизистые оболочки.
Indicator.Ru рекомендует: с осторожностью
Йодные антисептики, существующие в виде обычного раствора, раствора Люголя и повидон-йода снискали гораздо большую известность и широко применяются в обработке ран и хирургических инструментов. Иногда уступая новым препаратам (например, хлоргексидину), дешевые препараты этого типа добросовестно служат нам много лет, оставаясь в списках важнейших препаратов ВОЗ. Правда, не все остаются верны антисептической роли: раствор Люголя при этом рекомендуется использовать при заболеваниях щитовидной железы. К тому же, он может снизить потери крови во время хирургического удаления ее фрагментов). Кроме того, и повидон-йод, и раствор йода применяются в обеззараживании питьевой воды. Несмотря на это, в качестве пищевой добавки лучше использовать не спиртовые растворы, а соли йода, которые менее токсичны.
А вот о возможных побочных эффектах и карциногенных свойствах зеленки и фукорцина, несмотря на более чем столетнюю историю, мы знаем очень мало (хотя работа на их производстве точно сопряжена с рисками, да и пить или заливать в глаза эти растворы опасно). Но за рубежом их не жалуют не только поэтому, а скорее из-за эстетических неудобств.
Исследования опасности красителей в основном проводились в чашке Петри или при введении животным внутрь. Трудно понять, создаются ли такие же условия в ранках на коже. Действительно, многие антисептики действуют на разные типы клеток, а не только на бактерии. В пробирке убийственным эффектом в больших концентрациях будут обладать многие считающиеся безопасными вещества, как мыло, но мы прекрасно знаем, что ничего страшного не произойдет (если его не пить, конечно). Пока вред зеленки — лишь подозрения, и Всемирная организация здравоохранения ее не запрещает, а даже рекомендует в числе других местных антисептиков (вместе с генцианвиолетом, который тоже считают токсичным). Несмотря на это, анилиновые красители (фукорцин и зеленка) могут быть полезны от грибковых заболеваний кожи и гнойничковых язв, которые не поддаются другим методам лечения.
«Молекулярный механизм действия зеленки и других красителей неизвестен до сих пор. Чтобы это выяснить, надо провести сложные и дорогие исследования. А кто же это будет делать для столь старого препарата? Обязательные тесты лекарств на канцерогенность были введены много позже ее появления. И проводить их никто не думает все по тем же причинам», — резюмирует декан фармацевтического факультета Российского государственного медицинского университета Иван Козлов. И если первое утверждение касается зеленки и фукорцина, второе справедливо для всех упомянутых препаратов.
Наши рекомендации нельзя приравнивать к назначению врача. Перед тем, как начать принимать тот или иной препарат, обязательно посоветуйтесь со специалистом.

SunMag/Max Pixel/Indicator.Ru
Какие красители хранятся практически в каждой аптечке, что такое повидон-йод, есть ли шансы у йодистой сеточки против синяков и у зеленки против ветрянки, а также что мы знаем о токсичности и канцерогенности распространенных антисептиков, читайте в новом выпуске рубрики «Чем нас лечат».
Многие антисептики, как зеленка и фукорцин, с химической точки зрения относятся к красителям (более того, в этой роли они преимущественно и используются на Западе). Не менее популярен и раствор йода, который тоже может входить в состав реагентов для окрашивания. Рассказываем, от чего они защищают и насколько безопасны.
Из чего же, из чего
Известная всем зеленка, получившая название из-за французского прилагательного brillant, которое возникло при переводе с латыни и означало «блестящий», используется для окрашивания клеточных сред в микроскопии, шелка и шерсти, а также нанесения меток. Но в своей главной роли — в качестве антисептика — бриллиантовый зеленый стал применяться в начале XX века, когда ученые заметили, что при окрашивании он уничтожает микроорганизмы. Его «замечательная бактерицидная активность» была отмечена еще в публикации 1916 года, а в следующем году появились новые исследования, сообщавшие о его низкой токсичности для тканей человека.
Сейчас под бытовым названием «зеленка» в медицине используется под 1%-ный или 2%-ный раствор бис-(п-диэтиламино)трифенилангидрокарбинола оксалата в 57%-ном этаноле. Как и фукорцин, он относится к группе трифенилметанов. Фукорцин, кстати, тоже был изобретен более века назад (если быть точнее, в 1905 году). В практику его ввел итальянский бактериолог и патолог Альдо Кастеллани, который в то время работал на острове Цейлон. Фукорцин сложнее по составу: в него входит 0,8 частей борной кислоты, 3,9 частей фенола, 7,8 частей резорцина, 4,9 частей ацетона, 0,4 части основного фуксина, 9,6 частей 95%-ного спирта. Вся эта смесь дополняется 100 частями дистиллированной воды. В честь его создателя такой раствор нередко называют жидкостью Кастеллани.

Бриллиантовый зеленый

Фуксин — краситель в составе жидкости Кастеллани. Выпускается также разновидность жидкости без фуксина
Фукорцин тоже применяется для окрашивания культур микроорганизмов. Так, он связывается с миколовой кислотой в клеточной стенке микобактерий, в том числе у Mycobacterium tuberculosis. Кроме антисептического действия ему приписывают и противогрибковый эффект.
Наконец, среди местных антисептиков очень популярен 5%-ный раствор йода в спирте. Применять его в медицине в 1908 году начал Антонио Гроссиш, хорватский хирург, политик и писатель, который обрабатывал этой жидкостью кожу перед операцией. В Великобритании этот метод распространял Лайонел Стреттон, который оспаривал право первенства идеи, но так или иначе помог прославить ее на весь мир. На основе иода делается и раствор Люголя, названный в честь французского врача Жана-Гийома Люголя, который создал такую смесь еще в 1829 году. Водный раствор Люголя состоит из иода, иодида калия и воды в соотношении 5:10:85, а глицериновый — из глицерина, воды, иода и иодида калия в пропорциях 94:3:1:2. Раствор Люголя нередко применяют как фиксатор в окрашивании бактерий по Граму, которое помогает определить тип их клеточной стенки, а также в травлении золота.

Комплекс повидон-йода на углеродной нанотрубке
Trevor Simmons/Wikimedia Commons
Намного лучше переносится повидон-йод — комплекс из трийодид-анионов и водорастворимого полимера. Всемирная администрация здравоохранения даже внесла и его, и раствор Люголя в список важнейших препаратов, самых доступных и эффективных.
Зеленый свет для всех показаний?
Ни одной статьи в разделе клинических испытаний в базе данных PubMed не посвящено зеленке. Однако некоторые эксперименты там все же можно найти. Так, в одной статье сравнивается эффективность «тройного красителя» (в число трех анилиновых красителей входит и зеленка) с изопропиловым спиртом и без него в обработке пуповины новорожденных. От изопропилового спирта действие не меняется, однако это мало говорит нам о том, насколько оно сильно само по себе. Другая работа 1948 года показывает, что двухпроцентная зеленка помогает за 26 дней заживить хронические язвы, которые не проходили несколько месяцев до этого. Авторы заключают, что препарат убивает большинство бактериальных патогенов и легко может применяться на дому. Побочных эффектов они не нашли и добавили, что очистить здоровую кожу от случайного окрашивания можно обычным спиртом.
Другое исследование показало, что зеленка может уничтожать золотистый стафилококк, стрептококк и грибок Candida albicans при pH кожи и крови (и ее активность не меняется), хотя она проигрывает красителю генцианвиолету. Но от грамотрицательных бактерий она помогает плохо. Судя по всему, механизм действия зеленки как-то связан с разрушением клеточной стенки, характерной для грамположительных микроорганизмов.
Если антисептики нужны для обеззараживания раны, куда уже проникли микроорганизмы, то асептики предотвращают попадание туда инфекции. Грань между этими двумя методами иногда тонка, так как некоторыми дезинфицирующим средствами можно обрабатывать и рану, и, к примеру, хирургические инструменты. В этом смысле, смазывая зеленкой, фукорцином или раствором иода края раны, мы скорее используем их как асептики (хотя трудно сказать, есть ли там уже микроорганизмы в этот момент). Заливать ими рану внутри обычно не рекомендуется: раздражающее действие этих растворов на незащищенные ткани замедляет заживление. Поэтому для самой раны часто используют менее болезненные и более щадящие варианты, как раствор перекиси водорода.
Опыт применения зеленки в полевом лазарете с 1917 по 1956 годы раскрыт в письме в British Medical Journal. Автор называет антисептик эффективным в сравнении с другими и не вызывающим сильного раздражения. Также он заметил, что зеленка сильнее окрашивает мертвые ткани, предположив, что такая особенность может быть подсказать хирургу, что нужно удалить. Однако он сообщил и об ограничениях: так, раненые не оставались в лазарете долго, и их повреждения могли быть обработаны чем-то другим до прибытия.
Автор другого исследования зеленки, опубликованного в 1931 году, отмечает, что антисептики бывают двух типов: сильные, но при этом раздражающие живые ткани, как раствор иода, или более безопасные для пациента, но и на бактерии не оказывающие значительного эффекта. Дело в том, что часто свойства антисептиков, губительные для микроорганизмов, бывают вредны и для клеток человека. Бриллиантовый зеленый подавляет (в пробирке) размножение стрептококков и пневмококков, даже когда разведен в 200 000 раз, при этом автор называет его не токсичен и не раздражающим ткани раны так сильно, как раствор иода. В статье говорится о 123 случаях дезинфицировании зеленкой уже пораженных участков ткани (при язвах, карбункулах, флегмонах, абсцессах и так далее), а также об успешном применении в хирургических операциях. Насколько эффективно она защищает от заражения, автору выяснить не удалось.
Некоторые ученые пошли по другому пути и создали бактерицидные перчатки, инкомпорировав в материал хлоргексидина и бриллиантового зеленого. В экспериментах такие перчатки предотвращали загрязнение даже устойчивыми к антибиотикам патогенами. Есть данные и о противовирусной активности зеленки — например, против вируса Нипах, вызывающего энцефалит.
А вот ветряная оспа от зеленки не вылечивается. Но и цель нанесения антисептика не в этом: мокнущие язвочки он подсушит и от занесения новой инфекции защитит. Зато зеленка поможет покрасить новые пузырьки сыпи, чтобы следить за течением болезни. За рубежом такой подход не используется во многом из эстетических соображений.
Скрытые опасности красителей-антисептиков
Собрат зеленки в багровых тонах, фукорцин оказался эффективнее генциан-виолета (другого анилинового красителя-антисептика, который редко используется из-за подозрений в канцерогенности) против грибка Candida albicans. Поскольку фукорцин, в который входит фенол, тоже считается потенциально канцерогенным, некоторые ученые предлагают сочетать фуксин с хлоргексидином, более безопасным антисепиком. Такая смесь, по имеющимся данным, может подходить для лечения оториноларингологических инфекций.
Согласно уже упомянутому обзору красителей-антисептиков, фуксин активен против грамположительных бактерий и используется для лечение гнойничковых поражений кожи, дерматитов, экземы и даже ожогов. Фукорцин же вдобавок активен против грибков и работает как вяжущее вещество. С 1967 года официально признана опасность препарата для работающих на производстве, которым предписано проходить дополнительные обследования каждые шесть месяцев.
В исследовании на 61 пациенте фукорцин помог вылечить вызывающе зуд воспаление наружного уха, не затронув нейтральные бактерии, которые не приносили вреда. И все же в подавляющем большинстве клинических испытаний фукорцин сейчас применяется для окрашивания образцов клеток или тканей, а не как исследуемый антисептик. Причина как раз в потенциальной токсичности, которая, возможно, связана с механизмом окислительного стресса (общим для многих подобных красителей-антисептиков).
Немало вопросов у ученых возникает и по поводу опасности зеленки. Бриллиантовый зеленый — один из самых токсичных красителей-антисептиков при внутрибрюшинном введении. Эксперименты на эту тему проводились еще на морских свинках в 1918 году. Есть основания подозревать, что зеленка обладает канцерогенными свойствами, так как в определенной концентрации она разрушает ДНК клеток. Доказана вероятность перехода частиц красителя из зеленых бумажных полотенец на руки и еду: риск канцерогенного воздействия примерно равен тому, которому подвергают нас незаконно использующие зеленку рыбные хозяйства.
Точно известно, что к хорошему не приведут ее контакты со слизистыми оболочками, а из-за попадания зеленки в глаза может произойти помутнение роговицы. Также описаны случаи аллергических реакций на зеленку.
Йод: самый изученный, но исследования низкого качества
Антисептики с йодом — самые изученные среди тех, что мы рассматриваем в нашей статье. Им посвятили ряд Кохрейновских обзоров.
Кохрейновская библиотека — база данных международной некоммерческой организации «Кохрейновское сотрудничество», участвующей в разработке руководств Всемирной организации здравоохранения. Название организации происходит от фамилии ее основателя — шотландского ученого-медика XX века Арчибальда Кохрейна, который отстаивал необходимость доказательной медицины и проведения грамотных клинических испытаний и написал книгу «Эффективность и действенность: случайные размышления о здравоохранении». Ученые-медики и фармацевты считают Кохрейновскую базу данных одним из самых авторитетных источников подобной информации: публикации, включенные в нее, прошли отбор по стандартам доказательной медицины и рассказывают о результатах рандомизированных двойных слепых плацебо-контролируемых клинических исследований.

Indicator.Ru
Справка
Судя по всему, растворы йода (в том числе повидон-йод) хуже хлоргексидина защищают от инфекций при использовании венозного катетера, при чистой хирургии и для обеззараживания рук хирурга. Немного эффективнее повидона-йода хлоргексидин предотвращает инфекции при кесаревом сечении. А вот заживлять раны от ожогов антисептики с йодом в разных формах помогут немного быстрее хлоргексидина.
Не совсем понятно, помогает ли повидон-йод при венозных трофических язвах. Но увы, качество исследований оставляет желать лучшего: дешевый препарат уже на рынке, и тратить ресурсы на его более тщательные испытания никому не хочется.
Поскольку повидон-йод менее токсичен, чем раствор йода (а его эффект длится дольше), его успешно используют против конъюнктивита у новорожденных, хотя и неизвестно, лучше он или хуже других средств. При хроническом отите картина та же.
Помимо этого, йод применяется, к примеру, для обеззараживания питьевой воды в полевых условиях (5 капель двухпроцентного спиртового раствора на литр жидкости). Правда, он в такой форме токсичен, а потому не рекомендуется пить эту воду дольше нескольких недель. Кроме того, хотя йод убивает бактерии и вирусы, он не защищает от паразитических простейших Cryptosporidium или Giardia, которые вызывают тошноту, диарею и судороги.
Популярны также йодные сеточки: их рисуют для избавления от синяков или при ОРВИ. Единственное объяснение хоть какого-то механизма работы этих методов — раздражающее воздействие раствора на кожу, которое усилит кровоток и может (теоретически) ускорить исчезновение синяка. А вот сеточки от кашля — это, судя по всему, миф. «Если говорить о травмах, воспалительных заболеваниях, заболеваниях кожи и подкожной клетчатки — здесь еще можно говорить о воздействии йода на клетки кожи. Но что касается воздействия на кашель, это заблуждение», — отмечает Ярослав Ашихмин, кандидат медицинских наук, терапевт и кардиолог. Более того, с повторными «сеточками» стоит быть поаккуратнее: ими не только можно травмировать кожу, но и (при особенном упорстве) перегрузить щитовидную железу высокими дозами элемента, способного через эту кожу всасываться. По той же причине будут опасны всевозможные полоскания для горла с раствором йода, которые, к тому же, могут повредить слизистые оболочки.
Indicator.Ru рекомендует: с осторожностью
Йодные антисептики, существующие в виде обычного раствора, раствора Люголя и повидон-йода снискали гораздо большую известность и широко применяются в обработке ран и хирургических инструментов. Иногда уступая новым препаратам (например, хлоргексидину), дешевые препараты этого типа добросовестно служат нам много лет, оставаясь в списках важнейших препаратов ВОЗ. Правда, не все остаются верны антисептической роли: раствор Люголя при этом рекомендуется использовать при заболеваниях щитовидной железы. К тому же, он может снизить потери крови во время хирургического удаления ее фрагментов). Кроме того, и повидон-йод, и раствор йода применяются в обеззараживании питьевой воды. Несмотря на это, в качестве пищевой добавки лучше использовать не спиртовые растворы, а соли йода, которые менее токсичны.
А вот о возможных побочных эффектах и карциногенных свойствах зеленки и фукорцина, несмотря на более чем столетнюю историю, мы знаем очень мало (хотя работа на их производстве точно сопряжена с рисками, да и пить или заливать в глаза эти растворы опасно). Но за рубежом их не жалуют не только поэтому, а скорее из-за эстетических неудобств.
Исследования опасности красителей в основном проводились в чашке Петри или при введении животным внутрь. Трудно понять, создаются ли такие же условия в ранках на коже. Действительно, многие антисептики действуют на разные типы клеток, а не только на бактерии. В пробирке убийственным эффектом в больших концентрациях будут обладать многие считающиеся безопасными вещества, как мыло, но мы прекрасно знаем, что ничего страшного не произойдет (если его не пить, конечно). Пока вред зеленки — лишь подозрения, и Всемирная организация здравоохранения ее не запрещает, а даже рекомендует в числе других местных антисептиков (вместе с генцианвиолетом, который тоже считают токсичным). Несмотря на это, анилиновые красители (фукорцин и зеленка) могут быть полезны от грибковых заболеваний кожи и гнойничковых язв, которые не поддаются другим методам лечения.
«Молекулярный механизм действия зеленки и других красителей неизвестен до сих пор. Чтобы это выяснить, надо провести сложные и дорогие исследования. А кто же это будет делать для столь старого препарата? Обязательные тесты лекарств на канцерогенность были введены много позже ее появления. И проводить их никто не думает все по тем же причинам», — резюмирует декан фармацевтического факультета Российского государственного медицинского университета Иван Козлов. И если первое утверждение касается зеленки и фукорцина, второе справедливо для всех упомянутых препаратов.
Наши рекомендации нельзя приравнивать к назначению врача. Перед тем, как начать принимать тот или иной препарат, обязательно посоветуйтесь со специалистом.









