Оружие Второй мировой войны. Летающие лодки
Какой из самолетов вы считаете лучшим?
Бериев МБР-2 - 2 (3.77%)
77%
Consolidated PBY Catalina - 32 (60.38%)
38%
Short S.25 Sunderland - 6 (11.32%)
32%
CANT Z.501 Gabbiano - 0 (0%)
Latecoere Loire 130 - 0 (0%)
Blohm und Voss BV.138 - 2 (3.77%)
77%
Kawanishi H8K - 11 (20.75%)
75%
ГОЛОСОВАТЬРЕЗУЛЬТАТЫ
Не такие заметные, но спасшие (или унесшие) много жизней, машины.

Когда поднимаешь вопрос о летающих лодках, обычно собеседник слегка теряется. Максимум, что всплывает, – это «Каталина». Про наш героический «Амбарчик» вообще единицы знают, но о нем отдельный материал готовится. Ну конечно, любители и поклонники авиации знают про немецкие лодки.
На самом деле летающих лодок было весьма много. Не так много, как гидросамолетов, но тем не менее. Они были, они летали, они внесли свою лепту в ту войну. А потому – поднять якорь и на взлет!
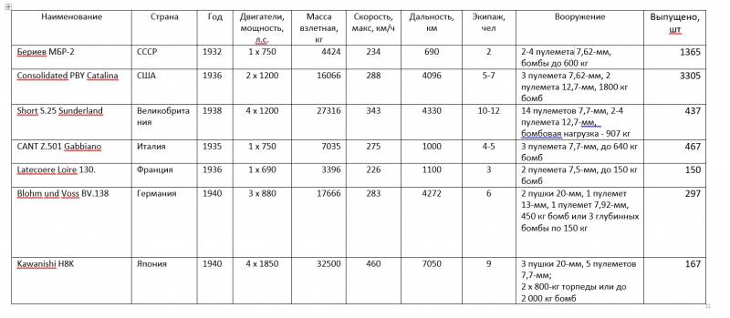
Бериев МБР-2. СССР
О легендарном «амбарчике» скажу кратко, потому что большая статья впереди. К сожалению, этот самолет устарел задолго до начала Второй мировой войны, но увы, отлетал ее с первого до последнего дня.

Это был дебютный самолет Бериева, начало долгого пути всего ОКБ Бериева. Для машины была выбрана схема одномоторного свободнонесущего моноплана и двухреданной лодки, имевшей большую поперечную килеватость.

Выбор был неслучаен, МБР-2 имел неплохую по тем временам мореходность и мог взлетать и садиться на воду при волнах высотой до метра. В качестве силовой установки планировался двигатель М-27, но как в те времена у нас обычно получалось с моторами, МБР-2 пошел в серию совсем с другими двигателями, более слабым М-17 и АМ-34НБ.
Предполагалось, что МБР-2 будет иметь цельнометаллическую конструкцию, но Бериев, оценив положение с производством алюминия в стране, сделал самолет деревянным и максимально простым. Причем, самолет получился весьма технологичным, от момента закладки до облета проходило 3 месяца.
Хуже было с оборудованием для разведчика. Многие МБР-2 сдавались без радиостанций и аэрофотоаппаратов, которые присылались и устанавливались в частях.
Недостатков была куча. О них в конце, но хотел отметить один. Из передней стрелковой точки прицельная стрельба была возможна только до скорости 200 км/ч, дальше воздушный поток просто не давал стрелку нормально работать, прижимая его к задней стенке кабины. Получилось, что при скорости выше 200 км/ч самолет вообще оказался беззащитным в передней полусфере.
Вообще «амбарчики» были желанной добычей немецких истребителей на всех приморских направлениях. Минимум напряжения – и очередная победа в кармане. Самолет был крайне беззащитным.
Эти простые, но надежные летающие лодки стали основными гидросамолетами советской морской авиации начала войны. К тому времени МБР-2 были неплохо освоены экипажами строевых частей, получив за свои угловатые формы иронично-ласковое прозвище "амбарчик".

Летающие лодки были прочны и надежны, просты и приятны в пилотировании, обладали хорошей мореходностью и не доставляли особых хлопот летчикам. Простая деревянная конструкция позволяла техническому составу проводить ремонт практически любой степени сложности непосредственно в частях. Однако дерево требовало специального ухода. После выкатки МБР-2 на берег лодку следовало тщательно просушить, для чего использовались самые разные способы: насыпанный в чехлы горячий песок, который прикладывался к отсыревшим частям самолета, электролампы, горячий сжатый воздух или бидоны с горячей водой.
И этим, уже основательно устаревшим самолетам, пришлось тащить на себе груз основного морского самолета. Причем, уже не разведчика, а фактически многоцелевой машины.
МБР-2 кроме разведки и аэрофотосъемки искали и бомбили подводные лодки, наносили удары по кораблям и портам противника, вывозили раненых, искали свои корабли (тот же РQ-17), прикрывали свои корабли (это вообще была дурь, так на ЧФ потеряли половину экипажей).

Иногда случались совсем уж нестандартные задания.
В сентябре 1944 г. МБР-2 пришлось вывозить экипаж английского "Ланкастера", участвовавшего в авианалете на линкор "Тирпитц". При перелете от цели до аэродрома Ягодник под Архангельском экипаж не дотянул до места заправки и посадил свой самолет на "брюхо" прямо в болото в районе деревни Талаги.
Чтобы вытащить англичан из этой глухомани, пришлось сбрасывать на парашюте проводника, который вывел их к ближайшему озеру, где ожидал МБР-2.
20 октября того же 1944 года немецкий гидросамолет BV.138 совершил вынужденную посадку в районе о. Моржовец. Немцы начали вызывать своих по радио, но работа неизвестной радиостанции привлекла внимание наших моряков. Вылетевший в тот район МБР-2 обнаружил своих незадачливых коллег и навел на BV.138 гидрографическое судно "Мгла", которое захватило и самолет, и экипаж.

Достоинства: дешевый, технологичный, многоцелевой.
Недостатки: скорость, вооружение, необходимость просушки после каждого вылета.
Consolidated PBY Catalina. США
Бесспорно, что PBY "Каталина" была очень удачной летающей лодкой. Одной из лучших. Выпускавшаяся непрерывно на протяжении десяти лет, она стала самым массовым в мире гидросамолетом.

Невероятно, но из 3300 выпущенных "Каталин" (строившихся в варианте летающей лодки и амфибии) около сотни продолжают летать и в наши дни.
"Каталиной" летающую лодку PBY назвали в Великобритании, в ноябре 1940 года, вскоре после того, как Королевские ВВС получили первые из этих машин, закупавшихся в дальнейшем в больших количествах.
Самолет был назван в честь острова-курорта, располагавшегося у побережья Калифорнии. Имя "Каталина" полностью отвечала принятой в RAF системе наименований иностранных самолетов. Когда в 1941 году Соединенные Штаты официально ввели систему названий для своих самолетов, много имен они позаимствовали у англичан, включая и "Каталину".

PBY в варианте летающей лодки, строившиеся канадцами для своих ВВС (RCAF), получили обозначение CANSO, а в варианте амфибии CANSO-A. Еще одним малоизвестным названием этого самолета был "Номад" (Nomad — кочевник).
В общем, к началу войны по заказу ВМС США было выпущено столько «Каталин», что лодка стала основным гидросамолетом американского флота.
Естественно, как только начались боевые действия против Японии, «Каталину» призвали на службу. Летающей лодке пришлось примерить на себя роль многофункционального самолета самой широкой сферы действия, поскольку дальность PBY-4 была просто роскошной.
Однако первые столкновения между «Каталинами» и японскими самолетами выявили уязвимость американских летающих лодок. Отсутствие бронезащиты у экипажа и протектированых топливных баков делало их сравнительно легкой добычей для японцев.
В сохранившихся немногочисленных свидетельствах о нападениях на группы PBY никогда не упоминается, чтобы американцы пытались сохранить строй и взаимно поддерживать друг друга огнем.
И дело тут было не в отсутствии опыта американских летчиков, с этим как раз все было хорошо. У самолета была проблема иного плана: весьма неудачное расположение стрелковых точек. Плюс магазинное питание крупнокалиберных пулеметов Браунинга. Японские пилоты через огромные блистеры прекрасно видели, когда стрелок начинает менять магазин и научились пользоваться моментом, выкашивая стрелков.
Плюс пилоты «Каталин» вообще не имели обзора задней полусферы.
В целом, как бомбардировщики и торпедоносцы «Каталины» закончились очень быстро.

А вот спасательные "Каталины" стали символом жизни для экипажей сбитых самолетов, затонувших кораблей и судов. Спасательные операции получили кодовое наименование "Дамбо" (Dumbo), по имени летающего слоненка из мультфильма Уолта Диснея. Вначале это имя использовалось в переговорах по радио, но потом оно прочно закрепилось за спасателями.
Дело дошло до того, что «Каталины» во время проведения кампании на Соломоновых островах выделялись в помощь ударным группам, патрулируя в районе неподалеку от цели.
Поработали PBY-4 и на русском севере в качестве разведчика и спасателя. Кроме того, была и советская «Каталина», он же ГСТ (Гидро Самолет Транспортный), изготавливаемая в Таганроге по лицензии, но не с обычными моторами, а лицензионными «Райт-Циклонами».

Достоинства: грузоподъемность, многоплановость, дальность действия
Недостатки: обзор, неудачное расположение вооружения
Short S.25 Sunderland. Великобритания
Самый крутой британский морской лев. Можно, конечно, поспорить в плане того, кто был эффективнее, «Сандерленд» или «Валрус», но весовые категории разные, а дел больше натворили парни на «Сандерлендах».

Итак, здоровенный такой летающий катер. Лодка тут как-то не в весовой категории.
Тут стоит сказать, что "Сандерленд" создали на базе уже неплохо зарекомендовавшего себя почтово-пассажирского самолета S.23 "Эмпайр". То есть, можно сказать, что гражданский самолет призвали на военную службу и приспособили под условия военной жизни.

По факту из почтового самолета получился прекрасный патрульный. Неудивительно, эта лодка уже имела все нужные качества: большой двухпалубный фюзеляж, благодаря чему большая дальность полета сочеталась с хорошими условиями обитаемости.
Мало того, что самолет мог взять много горючего, так еще обладал просто волшебными условиями для экипажа: на борту были камбуз, столовая и спальный отсек на шесть коек. Немудрено, что завистники дали этому самолету прозвище "летающий отель".
Итого: большая продолжительность полета, отличные условия для экипажа, довольно неплохая маневренность для такой большой машины, хороший обзор и возможность не экономить на каждом килограмме патронов – все эти составляющие сделали "Сандерленд" прекрасным патрульно-противолодочным самолетом.

У «Сандерленда» была одна весьма забавная особенность. Передняя стрелковая башня могла сдвигаться по рельсам назад, вовнутрь фюзеляжа. При этом в носовой оконечности лодки образовывалось что-то вроде небольшой палубы с ограждением, с которой было удобно осуществлять швартовку.
О вооружении буквально пару слов. Гора пулеметов калибра 7,7-мм была, конечно, делом хорошим, но с течением войны «Виккерсы» винтовочного калибра постепенно вытеснялись крупнокалиберными «Браунингами», что сыграло весьма положительную роль.
Вообще «Сандерленд» был очень сложной целью, и немцы, и итальянцы не потирали радостно рук при виде этой машины. S.25 мог спокойно отбиться от кого угодно, другой вопрос, что далеко не все горели желанием залетать так далеко от суши, как это делали пилоты «»Сандерлендов».
Боевой счет S.25 открыли 17 сентября 1940 года, когда один из самолетов 228-й АЭ сбил итальянскую летающую лодку "Кант" Z.501.
С бомбами оказалось сложнее. Вообще нагрузка в цифрах смотрится очень скромно, и понятно, что такой самолет мог взять на борт намного больше. Британские инженеры категорически не хотели нарушать прочность днища лодки и герметичность. Потому бомболюки сделали… в бортах!
Бомбы с помощью электроприводов выдвигались через люки в фюзеляже под крыло и там сбрасывались. Потом штанги приводов втягивались за новыми бомбами. Своеобразно, но оправдано.
Естественно, очень неплохо «Сандерленд» показал себя в качестве транспортного гидросамолета. Точнее, эвакуатора. Например, из 28 000 британцев, эвакуированных с Крита, 14 500 вывезли именно эти летающие лодки.
Но основной боевой задачей для «Сандерлендов» стало патрулирование морских и океанских акваторий в поисках подводных лодок противника. И в этом S.25 более чем преуспели.

А появление в 1943 г. нового противолодочного радара ASV Mk.III позволило противолодочным самолетам перейти от сопровождения конвоев к наступательной тактике, то есть, к попыткам найти и перехватить подводные лодки противника до выхода их в районы боевого развертывания.
В общей сложности «Сандерленды» уничтожили 26 германских "U-ботов" (21 из них — самостоятельно). А сколько было сорвано атак одним присутствием S.25 в районе движения конвоя, сказать сложно. Факт в том, что немецкие подводные лодки, имевшие на борту аппаратуру сигнализации о действии радара, выходить в атаку не спешили.
И прослужили S.25 весьма долго. В Аргентине они возили почту до 1967 года, а рекорд принадлежит бывшему австралийскому гидросамолету, летавшему во Французской Полинезии еще в 1970 году.
Достоинства: мореходность, вооружение, условия для экипажа, длительность полета
Недостатки: пожалуй, только сложная технически система бомбосброса.
CANT Z.501 Gabbiano. Италия
Итальянская «Чайка» чем-то повторила судьбу своей советской сухопутной тезки. То есть, окончательно и бесповоротно устарела к началу войны и фактически была выбита истребителями противника, потому что толком им ничего не могла противопоставить.

Тем не менее, самолет провоевал всю войну, с первого до последнего (для Италии) дня.
Перед началом Второй мировой в распоряжении итальянского флота было больше 200 самолетов Z.501. Комплектации разные, что для летающей лодки вполне нормально. Это и разведчики, и бомбардировщики, и эвакуаторы. Даже были попытки приспособить Z.501 для поиска и уничтожения подводных лодок противника, но как-то не получилось.
В общем самолет был нехарактерным для итальянского авиастроения. С одной стороны, красивый корпус, узкий и динамичный, с другой – огромное несуразное крыло, плюхнутое сверху. Но эта дисгармония работала довольно неплохо, машина для своего времени летала неплохо.

Но называли лодку чаще не «Габбиано», а «Мамаюто», «Ой, мамочка!». По легенде так крикнул ребенок, увидевший этот самолет первый раз. Правда или нет – сказать сложно.
А вот боевая эффективность была очень низкой. И причиной тому была не аэрогидродинамика, а в основном низкая живучесть и малая надежность двигателей. Вооружение тоже оставляло желать лучшего, но за неимением лучшего, «Чайки» летали над волнами до конца войны.
После капитуляции в авиации Италии осталось 30 гидросамолетов. К маю 1944 года их число сократилось до 24 — остальные остались в оккупированной фашистами Северной Италии.

Но уцелевшие самолеты летали вплоть до 1950 года. Не идеал, но все-таки.
Достоинства: выпущен большой серией
Недостатки: маневренность, надежность, скорость, вооружение.
Latecoere Loire 130. Франция
С небольшой толикой сожаления констатирую, что самой распространенной в годы войны французской летающей лодкой являлся моноплан «Луар 130».

Построили его по проекту как катапультный самолет-разведчик. Соответственно, маленький и легкий. Были во Франции и более значительные машины, но выпускались они совершенно мизерными сериями, от 1 до 10 машин. Так что при все желании оказать хоть какое-то влияние на ход боевых действий они не могли.
Вторую мировую войну летающие лодки «Луар 130» начинали на всех французских кораблях, имевших катапульты. От линкора до плавбазы. Плюс патрульные эскадрильи в составе ВВС.
После ноября 1942 г. все французские боевые корабли лишились своих катапульт, которые убрали для того, чтобы разместить больше зенитных установок. Все лодки «Луар 130» оказались «на берегу», то есть, стали использоваться с прибрежного базирования.

Естественно, в первую очередь их начали применять как патрульные самолеты для обнаружения и охоты за подводными лодками. Другой вопрос, что могли сделать две бомбы 75 кг массой.
Активнее всего самолеты использовались в авиации Виши. Причем, воевали, как характерно для французских самолетов, по обе стороны фронта. «Луары», оставшиеся в ВВС Виши, вполне могли сражаться с «Луарами», которые перелетели к англичанам из Туниса, Ливана и с Мартиники.
В целом же, «Луар 130» стал наиболее массовой французской летающей лодкой времен Второй мировой войны. Несмотря на невысокие скоростные качества, он отличался надежностью, простотой в эксплуатации и гибкостью применения.

Причем реально, этот самолетик был весьма многофункционален. Машина была по-настоящему многоцелевой, могла взлетать с береговых и прибрежных баз, с катапульт кораблей. «Луар 130» можно было применять в качестве разведчика, транспортного, поисково-спасательного самолета.
Достоинства: простой, управляемый, надежный.
Недостатки: скорость, вооружение.
Blohm und Voss BV.138. Германия
Эту лодку можно смело ставить в один рад с лучшими представителями этого класса самолетов, поскольку то, что могли делать BV.138, могли далеко не все. Хорошая мореходность, позволявшая взлетать и садиться при волне больше 1 метра, прекрасная дальность полета, показали, что ВV.138 – это выдающийся самолет для своего времени.

Мало того, что ВV.138 показал себя отличным патрульным самолетом, чрезвычайно прочным, не боящимся ни волн, ни пулеметов, так еще его выдающиеся мореходные качества, вместе со способностью находиться долго в открытом море, позволили использовать его так, как не использовался ни один самолет той войны: из засады.

Делалось это так: ВV.138 вылетали в Атлантику, садились на воду и дрейфовали два-три дня до сообщения о проходе конвоя союзников. После этого ВV.138 взлетал и наводил на конвой подводные лодки. Мог и сам атаковать, но наведение одним самолетом «волчьей стаи» было намного более смертоносно, недели несколько бомб или торпеда.
Конструкторы смогли сделать так, что что даже довольно сложный ремонт можно было провести в открытом море. А заправлялись ВV.138 с подводных лодок легко и непринужденно, если только позволяла погода.
С максимальным запасом топлива ВV.138 мог находиться в воздухе до 18 часов, хотя с нормальным только 6,5.
Полем действия для ВV.138 стали и Арктика, и Балтика, и Атлантика. Везде, где нужны были глаза и четкое наведение других сил.

На севере в 1942 году немцы сконцентрировали в Норвегии 44 единицы ВV.138, фактически ни один конвой не мог пройти незамеченным. ВV.138. Таким образом было обеспечено эффективное обнаружение и последующее слежение за конвоями. Стоит отметить, что потери от действий ПВО кораблей конвоев были невелики.
Правда, почти тут же союзники начали включать в состав конвоев авианосцы, самолеты которых несколько затруднили работу немецких разведчиков. Однако, даже в таком случае нейтрализовать работу ВV.138 было непросто. Зафиксирован случай, когда летающая лодка выдержала 90-минутный бой с «Си-Харрикейнами» и сумела вернуться на базу, правда, с серьезными повреждениями.
Слишком хорошо были распределены сектора стрельбы пушек, которые могли наносить урон истребителям противника из-за радиуса действия пулеметов последнего. Отмечались и случаи атаки ВV.138 на самолеты эскорта, особенно на гидросамолеты.
К 1942 году обнаглевшие немцы создали базы для ВV.138 на советской территории, на Новой Земле. Базу организовали с подводных лодок, предполагалось, что самолеты будут проводить разведку конвоев в Карском море, действуя с Новой Земли. С этой базы ВV.138 в течение нескольких недель совершали разведывательные полеты на восток до Ямала и до севера восточной части Урала.
Конечно, к концу войны применение довольно неспешных летающих лодок в условиях в условиях полного превосходства противника в воздухе стало чрезвычайно рискованным делом. Hо в Арктике ВV.138 действовали до самого окончания войны.

И ВV.138 стал самолетом, вписавшим одну из последних строк в историю Люфтваффе. Именно летавший на этой машине обер-лейтенант Вольфганг Клемуш получил 1 мая 1945 года приказ вылететь на своем ВV.138 в Берлин ночью, произвести посадку на озере и забрать двух очень важных курьеров. Клемуш успешно совершил посадку, несмотря на интенсивный артобстрел, но, так как курьеры не смогли представить каких-либо удостоверяющих документов, пилот отказался взять их на борт, а погрузил 10 раненых и вернулся в Копенгаген.
Впоследствии выяснилось, что эти курьеры должны были доставить завещание и последнюю волю Гитлера.
В целом же самолет получился весьма функциональным и многоплановым, именно потому он смог провоевать всю войну.
Достоинства: прочность, мореходность, вооружение, длительность полета
Недостатки: маневренность и скорость.
Kawanishi H8K. Япония
Создание этого монстра началось задолго до Второй мировой войны, но пришлось пройти через целый ряд моделей, чтобы получился одна из лучших летающих лодок. Совершенно без преувеличения, Н8К можно оценивать именно так.

Вообще японцы создали много чего такого, не укладывающегося в общемировые каноны. Особенно когда их прижали Вашингтонским договором, странные изобретения посыпались просто лавиной.
И все эти изобретения не подпадали под договорные ограничения, поскольку реально не имели класса. Это и суперэсминцы, и громадные кислородные торпеды «лонг-лэнсы» для них, патрульные подводные лодки-авианосцы, тяжелые крейсеры и линкоры, быстроходные гидроавианосцы-носители карликовых субмарин, огромные минные заградители, торпедные крейсеры (с 40 торпедными аппаратами каждый) и прочие полезности.
Но, пожалуй, самое пристальное внимание уделили новому роду флотских вооружений — авиации палубной, береговой и гидропланам.

Япония действительно вступила в войну, располагая лучшими в мире палубными истребителями, пикировщиками и торпедоносцами. Береговая авиация флота получила торпедоносцы просто с фантастической дальностью полета, а тяжелые ударно-разведывательные летающие лодки вели стратегическую разведку на всей акватории Тихого океана.
Этот роскошный аппарат был создан на фирме "Каваниши Кокуки К.К.". Забавно, но львиная доля акций принадлежала британской фирме Short Brothers, пусть и в несколько завуалированном виде. А Short Brothers являлась нежным и надежным поставщиком Флота ее Величества королевы Великобритании.
Ничего личного, просто бизнес: японцы получали доступ к свежим достижениям английского гидроавиастроения, a Short Brothers не платила налогов с продажи в Японию лицензий, так что схожесть принципиальных схем и некоторых технических решений Н8К и Sunderland не удивляют.
Но я уже рассказывал, что творили японские инженеры из образцов зарубежного производства (пушки и пулеметы), и какие шедевры при этом получались. Получилось и на этот раз.
ТТХ, приведенные в конце статьи, сразу выводят самолет в разряд совершенных.

Выдающиеся параметры сразу определили лодку в разряд стратегических разведчиков. Но это одновременно был и весьма зубастый самолет, способный наносить нешуточные удары.
Две таких летающих лодки приняли участие в малоизвестной, но уникальной операции — втором ударе по Перл-Харбору. Цель операции была определена как разведка гавани и бомбардировка нефтехранилища главной базы американского флота, практически не пострадавшего во время авианосного рейда вице-адмирала Нагумо Тюити.
Экипажи лейтенантов Хашизуми и Томано из состава авиакорпуса Иокогама с четырьмя 250-кг авиабомбами на каждой машине перелетели с атолла Вотье к рифам Френч-Фригейт на севере от Гавайских островов, где дозаправились с подводных лодок и продолжили полет к Перл-Харбору.
Плохая погода над целью заставила японцев отбомбиться сквозь облака, так что не удивительно, что результат был никакой. Вторая попытка провести эту операцию закончилась гибелью экипажа лейтенанта Томано при доразведке цели — его сбили истребители, а вскоре американский флот взял под свой контроль рифы Френч-Фригейт.
Возможности лодок постоянно совершенствовались. Одними из первых в истории японского авиастроения самолеты Н8К получили многослойное резиновое протектирование топливных баков, а кресла пилотов и командира корабля — бронеспинки.
Самолет провоевал всю войну. Н8К занимались разведкой в Тихом и Индийском океанах, наносили бомбовые удары по Коломбо, Калькутте, Тринкомали и целям в западной Австралии, снабжали изолированные в океане островные гарнизоны, искали и топили подводные лодки.

Для этого на небольшом количестве Н8К в 1944 г. установили поисковые РЛС. Эффект был, не менее семи американских субмарин отправились на дно при непосредственном "содействии" японских летающих лодок.
И Н8К была признана весьма крепким орешком для истребителей. Просто безумная живучесть вкупе с мощнейшим оборонительным вооружением и фанатичностью японских экипажей унесли жизнь не одного американского и британского пилота, пытавшихся уничтожить самолет. Случалось, чтобы заставить Н8К упасть, 5-6 истребителей расходовали весь боезапас.
Но на втором этапе войны и истребителей, и патронов у союзников было в достатке, так что к моменту капитуляции Японии уцелели только две летающих лодки этого типа. Были уничтожены и все гидропланы транспортной модификации L.

Кстати, именно Н8К принадлежит участие в одной из печальных страниц императорского флота.
В апреле 1943 г американские летчики сбили два бомбардировщика G4M1, на которых погибли и несколько офицеров штаба Объединенного флота во главе с главкомом — адмиралом Ямамото Исороку. Японское командование ВМС решили обеспечить более надежными "пулеустойчивыми" самолетами. Выбор пал на летающую лодку Н8К. К осени модернизировали первый самолет, получивший обозначение H8K1-L м.31. Этакий ВИП-вариант, способный помимо экипажа перевозить с комфортом по 29 пассажиров.
Это были надежные машины, не вызывавшие нареканий ни со стороны экипажей, ни со стороны пассажиров, но вторично штаб Объединенного флота потеряли вместе с новым командующим, вице-адмиралом Кога Минэити, именно на борту H8K2-L. Самолет главкома в 1944 г. попал в тайфун при перелете с островов Палау на Давао и пропал без вести.
Достоинства: надежность, скорость, вооружение, дальность действия, мореходность.
Недостатки: пожалуй, нет.

Конечно, летающие лодки не были столь распространениы, как истребители и бомбардировщики, но они внесли свой вклад в победу той или иной стороны. Вопрос только в том, кто лучше.
Автор:Роман Скоморохов




