Оружие Второй мировой. Ночные истребители. Сравнения
Какие самолеты вы считаете лучшими?
«Мессершмитт» Bf.110G - 3 (16.67%)
67%
«Юнкерс» Ju-88C-2 - 0 (0%)
«Дорнье» Do-17Z-7 - 0 (0%)
«Дорнье» Do-217J - 1 (5.56%)
56%
«Хейнкель» He.219 - 4 (22.22%)
22%
«Мессершмитт» Ме-262В - 1 (5.56%)
56%
«Бристоль» Blenheim I(IV)F - 1 (5.56%)
56%
«Де Хэвиленд» Mosquito NF - 7 (38.89%)
89%
«Дуглас» P-70 Nighthawk - 0 (0%)
«Нортроп» P-61B Black Widow - 1 (5.56%)
56%
Заканчивая получившуюся довольно большой тему о ночных истребителях, конечно, будет совершенно справедливо их сравнить между собой. И пройтись по сильным и слабым сторонам, благо историю самолетов мы неплохо рассмотрели в предыдущих материалах.
«Мессершмитт» Bf.110G
Он был первым. Да, у него были еще довольно легкие соперники, но тем не менее, в дневном бою «Уничтожитель» не показал себя крутым бойцом, в ночном… Ну, в ночном было немного получше.

В ночных боях над Европой в начале войны Bf.110 вполне успешно использовался с системой наведения "Химмельбетт", которая не требовала ни большой дальности полета, ни большой продолжительности пребывания в воздухе. Hо по мере появления более быстрых бомбардировщиков и постановщиков помех 110-й становился все печальнее, хотя провоевал до самого конца войны.

Вопрос только, насколько эффективно.

Достоинства: освоенный самолет во всех смыслах. Неплохой набор вооружения.
Недостатки: скорость и маневренность. Плюс небольшой радиус действия. Кроме того, был недостаток у самолетов с экипажем в три человека. Это проблема покидания оператором РЛС поврежденной машины с парашютом. Для этого первым должен был выпрыгнуть стрелок, но если он был ранен или убит, то покинуть самолет было не возможно.
«Юнкерс» Ju-88C-2
Может быть, не самый распространеный ночной истребитель Третьего рейха, но – важнейший элемент ПВО Германии. В 1944 г. сборочные линии «Юнкерса» и смежников практически полностью переключились на выпуск истребительного варианта.

Слабой стороной самолета оказалось то, что он не поспевал за «фаршем», который в него постоянно добавляли. Различные системы РЛС, радиовысотомер FuG 101, радиолокационный ответчик FuG 25, используемый для взаимодействия с системой наведения "Химмельбетт" и зенитной артиллерией, а также приемник FuG 10, конечно, улучшали возможности самолета, но постоянно увеличивали его вес и ухудшали аэродинамику.

Достоинства: прекрасное радиолокационное оборудование, увесистый залп (один из лучших), хорошая дальность полета.
Недостатки: небыстрый и не очень хорошо маневрирующий самолет.
«Дорнье» Do-17Z-7
Не очень удачный эксперимент по превращению бомбардировщика в ночной истребитель. Этот самолет не оборудовался РЛС, но на нем устанавливали не менее интересное оборудование: инфракрасный прибор ночного видения.

Прибор назывался «Spanner-Anlage». Он состоял из двух частей: инфракрасного прожектора и приемной Q-трубки с маленьким экраном.
Прожектор находился в передней части носового обтекателя, а Q-трубку устанавливали сквозь лобовое стекло кабины перед летчиком.
Освещенная инфракрасным лучом цель проявлялась на экране.
Был и пассивный прибор, без прожектора, который улавливал горячие выхлопные газы двигателя. Минусом систем была небольшая дальность действия.
Неудивительно, что к 1942 году все «Дорнье» Do-17Z были переведены в учебные и выведены из состава Люфтваффе.
Достоинства: небольшой вес, отсюда неплохая маневренность.
Недостатки: скорость, вооружение.
«Дорнье» Do-217J
Фактически – работа над ошибкой Dо-17, но не самая удачная работа. Конечно, появление РЛС «Лихтенштейн» весьма упростило работу экипажам, но перетяжеленность конструкции сыграла свою роль.

Вооружение было впечатляющим, и истребитель реально мог истребить кого угодно, если догнал бы. А с этим была огромная проблема. Попытки установить более мощные двигатели ситуации не улучшили, и Do-217J в начале 1943 начали менять на «Юнкерсы» и выводить из боевых частей Люфтваффе.

Достоинства: мощное вооружение
Недостатки: большой вес, небольшая скорость, плохая маневренность
«Хейнкель» He.219
Конструкторы "Хейнкеля" создали действительно передовую машину, с такими реальными достоинствами, как герметичная кабина экипажа, катапульты и дистанционно-управляемое оборонительное вооружение. Потому, собственно, самолет и не пошел в серию, пока за него не взялся Каммхубер и не предложил переделать в ночной истребитель.

К сожалению для немцев, «Хейнкель» не смог строить Не.219 в достаточных количествах. Всего было построено 268 машин всех модификаций, что явно недостаточно. А машина была довольно приличной по всем параметрам. Я бы сказал, что это был мощнейший из ночных истребителей в плане вооружения, да плюс еще и летал вполне себе прилично. В целом — пожалуй, единственный самолет с поршневыми двигателями, который мог на равных воевать с "Москито".

Достоинства: ЛТХ в целом, вооружение.
Недостатки: пожалуй, тяжеловат. Но не критично.
«Мессершмитт» Ме-262В
Он был. Это все, что можно сказать про этот самолет. Никаких особенных заслуг и громких побед, просто война закончилась раньше, чем немцы смогли отладить выпуск машин и обучение пилотов. Перспектива, конечно, была.

Достоинства: скорость, высота.

Недостатки: неосвоенность конструкции в целом, слабое вооружение. Две пушки МК-108 30-мм – это откровенно ни о чем.
«Бристоль» Blenheim I(IV)F
Как я уже писал, к началу Второй мировой войны этот самолет устарел настолько, что его надо было просто тихо списать. Однако его заставили воевать.

Повоевали ночные «Бленхеймы» и на защите Британии, и в Северной Африке, и в Индии. Но победы этого истребителя были скорее исключением, чем правилом, поскольку его скоростные качества просто не позволяли кого-то догнать. Потому уже к 1944 году все «Бленхеймы» были заменены на «Бофайтеры».

Достоинства: пожалуй, что нет.
Недостатки: слабое вооружение, ЛТХ в целом.
«Де Хэвиленд» Mosquito NF
Ну, это ужас, летящий на крыльях ночи. Это истребитель, который был способен спокойно и непринужденно истреблять ночные истребители противника. А вообще, «Москито» сбивали все, что попадалось в прицел, от бомбардировщиков до снарядов V-1 и V-2.

Пожалуй, если с кем и возникали проблемы, то с Ме.262 и Не.219. Первый превосходил в скорости, а второй и создавался как ответ на «Москито», поэтому тоже мог вмазать от всей души.
В общем, это кандидат на одно из призовых мест.

Достоинства: ЛТХ, вооружение, все просто прекрасно.
Недостатки: пожалуй, что не было.
«Дуглас» P-70 Nighthawk
Этот господин по идее должен был оказаться где-то вместе со 110-м и «Бренхеймом», ибо был неклюж и в целом для боев с шустрыми и манёвренными японскими самолетами не годился совершенно.

Именно поэтому «Ночного ястреба» использовали как угодно, и как штурмовик, и как разведчик, и как учебный самолет.

Достоинства: крепкий, с хорошим вооружением самолет.
Недостатки: маневренность и скоростные качества.
«Нортроп» P-61B Black Widow
Общее число жертв «Черной вдовы» не велико, поскольку они поступили на вооружение к тому времени, когда союзники уже установили почти полный контроль над воздушным пространством.

Но этот примечательный самолет воевал, и воевал вполне неплохо. Причем, когда у японцев закончились самолеты, «Вдову» спокойно приспособили в качестве ночного же штурмовика.
Последний самолет, сбитый в ходе Второй мировой войны, был уничтожен именно P-61В. Ночью 14/15 августа 1945 года P-61B пилотируемый лейтенантом Робертом Клайдом и оператором РЛС лейтенантом Брюсом Лефордом сбил над морем около Иешимы японский армейский истребитель Nakajima Ki-43.
К концу Второй мировой войны в USAAF пятнадцать из шестнадцати эскадрилий ночных истребителей имели на вооружении P-61A или P-61B, что говорит о многом.

Достоинства: ЛТХ, вооружение.
Недостатки: нет.
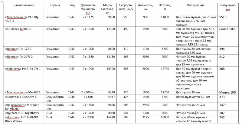
В целом же основным носителем информации здесь является таблица. По ней можно судить, насколько тот или иной самолет был плох или хорош.

Если кому-то покажется, что некоторым истребителям тут явно не место, потому что они из первой половины войны, то объясню. Так проще увидеть ту эволюцию, которую проделали эти самолеты. А они ее проделали, более того, именно благодаря работам над ночными истребителями мы (в том числе) получили на выходе реактивные универсальные самолеты.
Автор:Роман СкомороховСтатьи из этой серии:Боевые самолёты. Ночные истребители
Боевые самолёты. Ночные истребители. Продолжение
«Мессершмитт» Bf.110G - 3 (16.67%)
67%
«Юнкерс» Ju-88C-2 - 0 (0%)
«Дорнье» Do-17Z-7 - 0 (0%)
«Дорнье» Do-217J - 1 (5.56%)
56%
«Хейнкель» He.219 - 4 (22.22%)
22%
«Мессершмитт» Ме-262В - 1 (5.56%)
56%
«Бристоль» Blenheim I(IV)F - 1 (5.56%)
56%
«Де Хэвиленд» Mosquito NF - 7 (38.89%)
89%
«Дуглас» P-70 Nighthawk - 0 (0%)
«Нортроп» P-61B Black Widow - 1 (5.56%)
56%
Заканчивая получившуюся довольно большой тему о ночных истребителях, конечно, будет совершенно справедливо их сравнить между собой. И пройтись по сильным и слабым сторонам, благо историю самолетов мы неплохо рассмотрели в предыдущих материалах.
«Мессершмитт» Bf.110G
Он был первым. Да, у него были еще довольно легкие соперники, но тем не менее, в дневном бою «Уничтожитель» не показал себя крутым бойцом, в ночном… Ну, в ночном было немного получше.

В ночных боях над Европой в начале войны Bf.110 вполне успешно использовался с системой наведения "Химмельбетт", которая не требовала ни большой дальности полета, ни большой продолжительности пребывания в воздухе. Hо по мере появления более быстрых бомбардировщиков и постановщиков помех 110-й становился все печальнее, хотя провоевал до самого конца войны.

Вопрос только, насколько эффективно.

Достоинства: освоенный самолет во всех смыслах. Неплохой набор вооружения.
Недостатки: скорость и маневренность. Плюс небольшой радиус действия. Кроме того, был недостаток у самолетов с экипажем в три человека. Это проблема покидания оператором РЛС поврежденной машины с парашютом. Для этого первым должен был выпрыгнуть стрелок, но если он был ранен или убит, то покинуть самолет было не возможно.
«Юнкерс» Ju-88C-2
Может быть, не самый распространеный ночной истребитель Третьего рейха, но – важнейший элемент ПВО Германии. В 1944 г. сборочные линии «Юнкерса» и смежников практически полностью переключились на выпуск истребительного варианта.

Слабой стороной самолета оказалось то, что он не поспевал за «фаршем», который в него постоянно добавляли. Различные системы РЛС, радиовысотомер FuG 101, радиолокационный ответчик FuG 25, используемый для взаимодействия с системой наведения "Химмельбетт" и зенитной артиллерией, а также приемник FuG 10, конечно, улучшали возможности самолета, но постоянно увеличивали его вес и ухудшали аэродинамику.

Достоинства: прекрасное радиолокационное оборудование, увесистый залп (один из лучших), хорошая дальность полета.
Недостатки: небыстрый и не очень хорошо маневрирующий самолет.
«Дорнье» Do-17Z-7
Не очень удачный эксперимент по превращению бомбардировщика в ночной истребитель. Этот самолет не оборудовался РЛС, но на нем устанавливали не менее интересное оборудование: инфракрасный прибор ночного видения.

Прибор назывался «Spanner-Anlage». Он состоял из двух частей: инфракрасного прожектора и приемной Q-трубки с маленьким экраном.
Прожектор находился в передней части носового обтекателя, а Q-трубку устанавливали сквозь лобовое стекло кабины перед летчиком.
Освещенная инфракрасным лучом цель проявлялась на экране.
Был и пассивный прибор, без прожектора, который улавливал горячие выхлопные газы двигателя. Минусом систем была небольшая дальность действия.
Неудивительно, что к 1942 году все «Дорнье» Do-17Z были переведены в учебные и выведены из состава Люфтваффе.
Достоинства: небольшой вес, отсюда неплохая маневренность.
Недостатки: скорость, вооружение.
«Дорнье» Do-217J
Фактически – работа над ошибкой Dо-17, но не самая удачная работа. Конечно, появление РЛС «Лихтенштейн» весьма упростило работу экипажам, но перетяжеленность конструкции сыграла свою роль.

Вооружение было впечатляющим, и истребитель реально мог истребить кого угодно, если догнал бы. А с этим была огромная проблема. Попытки установить более мощные двигатели ситуации не улучшили, и Do-217J в начале 1943 начали менять на «Юнкерсы» и выводить из боевых частей Люфтваффе.

Достоинства: мощное вооружение
Недостатки: большой вес, небольшая скорость, плохая маневренность
«Хейнкель» He.219
Конструкторы "Хейнкеля" создали действительно передовую машину, с такими реальными достоинствами, как герметичная кабина экипажа, катапульты и дистанционно-управляемое оборонительное вооружение. Потому, собственно, самолет и не пошел в серию, пока за него не взялся Каммхубер и не предложил переделать в ночной истребитель.

К сожалению для немцев, «Хейнкель» не смог строить Не.219 в достаточных количествах. Всего было построено 268 машин всех модификаций, что явно недостаточно. А машина была довольно приличной по всем параметрам. Я бы сказал, что это был мощнейший из ночных истребителей в плане вооружения, да плюс еще и летал вполне себе прилично. В целом — пожалуй, единственный самолет с поршневыми двигателями, который мог на равных воевать с "Москито".

Достоинства: ЛТХ в целом, вооружение.
Недостатки: пожалуй, тяжеловат. Но не критично.
«Мессершмитт» Ме-262В
Он был. Это все, что можно сказать про этот самолет. Никаких особенных заслуг и громких побед, просто война закончилась раньше, чем немцы смогли отладить выпуск машин и обучение пилотов. Перспектива, конечно, была.

Достоинства: скорость, высота.

Недостатки: неосвоенность конструкции в целом, слабое вооружение. Две пушки МК-108 30-мм – это откровенно ни о чем.
«Бристоль» Blenheim I(IV)F
Как я уже писал, к началу Второй мировой войны этот самолет устарел настолько, что его надо было просто тихо списать. Однако его заставили воевать.

Повоевали ночные «Бленхеймы» и на защите Британии, и в Северной Африке, и в Индии. Но победы этого истребителя были скорее исключением, чем правилом, поскольку его скоростные качества просто не позволяли кого-то догнать. Потому уже к 1944 году все «Бленхеймы» были заменены на «Бофайтеры».

Достоинства: пожалуй, что нет.
Недостатки: слабое вооружение, ЛТХ в целом.
«Де Хэвиленд» Mosquito NF
Ну, это ужас, летящий на крыльях ночи. Это истребитель, который был способен спокойно и непринужденно истреблять ночные истребители противника. А вообще, «Москито» сбивали все, что попадалось в прицел, от бомбардировщиков до снарядов V-1 и V-2.

Пожалуй, если с кем и возникали проблемы, то с Ме.262 и Не.219. Первый превосходил в скорости, а второй и создавался как ответ на «Москито», поэтому тоже мог вмазать от всей души.
В общем, это кандидат на одно из призовых мест.

Достоинства: ЛТХ, вооружение, все просто прекрасно.
Недостатки: пожалуй, что не было.
«Дуглас» P-70 Nighthawk
Этот господин по идее должен был оказаться где-то вместе со 110-м и «Бренхеймом», ибо был неклюж и в целом для боев с шустрыми и манёвренными японскими самолетами не годился совершенно.

Именно поэтому «Ночного ястреба» использовали как угодно, и как штурмовик, и как разведчик, и как учебный самолет.

Достоинства: крепкий, с хорошим вооружением самолет.
Недостатки: маневренность и скоростные качества.
«Нортроп» P-61B Black Widow
Общее число жертв «Черной вдовы» не велико, поскольку они поступили на вооружение к тому времени, когда союзники уже установили почти полный контроль над воздушным пространством.

Но этот примечательный самолет воевал, и воевал вполне неплохо. Причем, когда у японцев закончились самолеты, «Вдову» спокойно приспособили в качестве ночного же штурмовика.
Последний самолет, сбитый в ходе Второй мировой войны, был уничтожен именно P-61В. Ночью 14/15 августа 1945 года P-61B пилотируемый лейтенантом Робертом Клайдом и оператором РЛС лейтенантом Брюсом Лефордом сбил над морем около Иешимы японский армейский истребитель Nakajima Ki-43.
К концу Второй мировой войны в USAAF пятнадцать из шестнадцати эскадрилий ночных истребителей имели на вооружении P-61A или P-61B, что говорит о многом.

Достоинства: ЛТХ, вооружение.
Недостатки: нет.
В целом же основным носителем информации здесь является таблица. По ней можно судить, насколько тот или иной самолет был плох или хорош.

Если кому-то покажется, что некоторым истребителям тут явно не место, потому что они из первой половины войны, то объясню. Так проще увидеть ту эволюцию, которую проделали эти самолеты. А они ее проделали, более того, именно благодаря работам над ночными истребителями мы (в том числе) получили на выходе реактивные универсальные самолеты.
Автор:Роман СкомороховСтатьи из этой серии:Боевые самолёты. Ночные истребители
Боевые самолёты. Ночные истребители. Продолжение




